Polyethylene resin (PET resin), a remarkable material, has revolutionized numerous industries worldwide. From its origins and manufacturing process to the diverse applications and environmental impact, this blog will take a closer look into the intricacies of PET resin. By investing time in understanding its properties, advantages, and other aspects, you are able to uncover the reasons behind its widespread adoption in today’s fast-paced world.
Join TLD Vietnam on this journey as we will present an overview of it.

What Is PET?
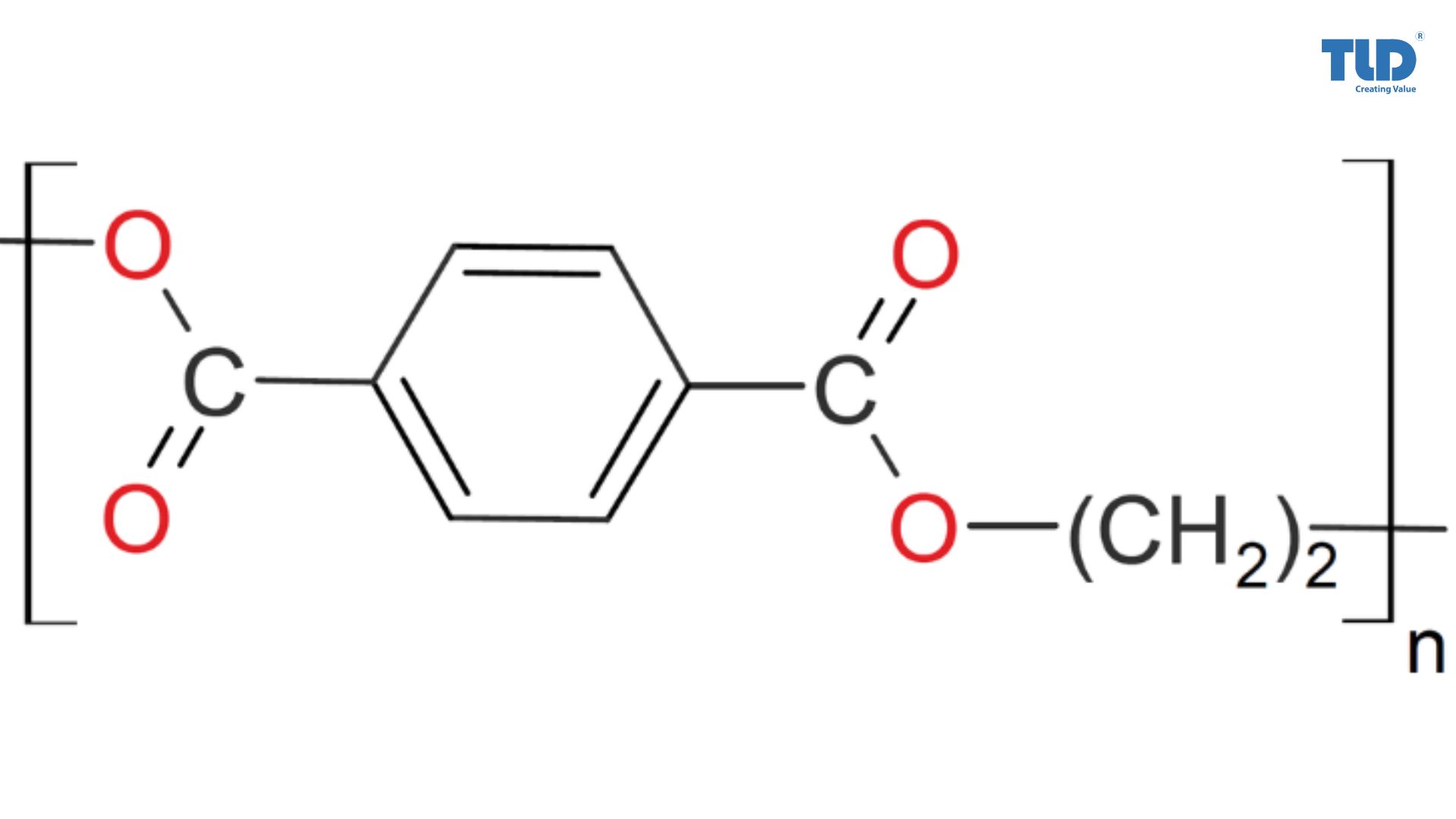
PET is a general-purpose linear semicrystalline thermoplastic polymer. It belongs to the polyester family of polymers. Renowned for their impressive array of characteristics, these resins boast exceptional mechanical strength, thermal endurance, chemical resistance and dimensional stability. The chemical composition is represented by the formula (C10H8O4)n.
PET plays a pivotal role in our daily lives, serving as the primary material for manufacturing a diverse array of packaging solutions. Notably, it holds the distinction of being the most recycled plastic worldwide.
How Is PET Processed?
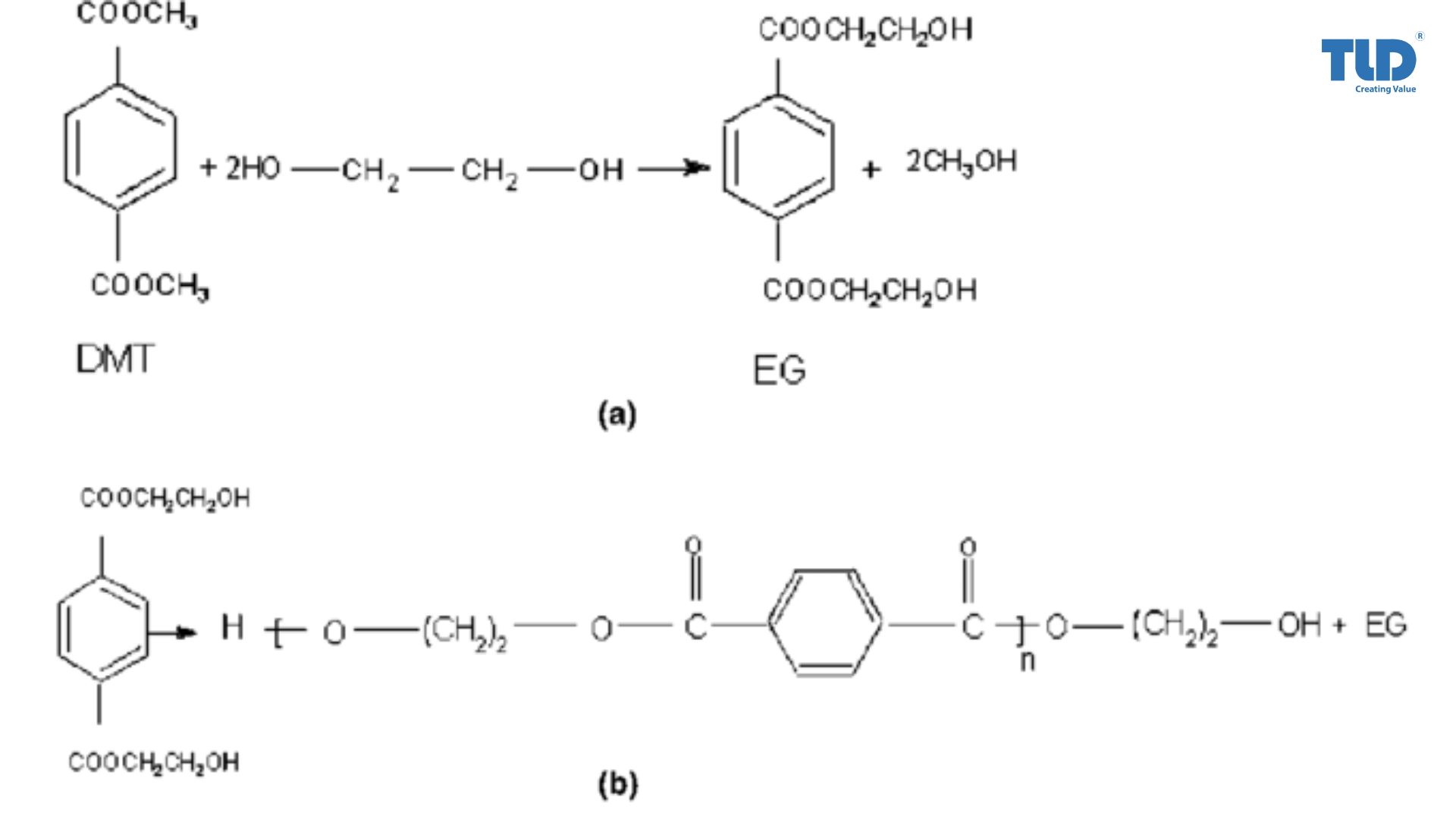
PET is classified as an aliphatic polyester. This material is obtained from the polycondensation reaction of monomers derived from either:
- Esterification reaction between terephthalic acid and ethylene glycol
- Trans-esterification reaction between ethylene glycol and dimethyl terephthalate

PET is highly amenable to processing through injection molding and extrusion techniques. It is commonly extruded to create films and sheets, which can then undergo thermoforming processes for further shaping. Additionally, blow molding is frequently employed to manufacture transparent bottles.
Properties
PET resin has numerous desirable properties that make it a preferred material across various industries.

Some of its ideal properties include:
Chemical resistance
PET exhibits exceptional resistance to water, food substances and natural elements such as bacteria and fungi. This inherent resistance makes it highly suitable for food packaging applications, ensuring the safety and integrity of packaged products.
Transmittance
While PET is naturally transparent, the truth is that its appearance may not be as visually appealing as other highly transparent polymers like polycarbonate and acrylic. If a high level of transparency is essential for a particular application, it is advisable to utilize polycarbonate or acrylic instead of PET to achieve the desired aesthetic quality.
Shockproof
PET resin is solid and strong, making it highly durable and practically shatterproof. This exceptional property renders it a popular choice as an alternative to application related to glass.
Lightweight
Due to its exceptionally lightweight nature, PET offers significant benefits in terms of reducing transportation costs and minimizing carbon emissions. This makes PET an environmentally friendly choice for industries aiming to optimize logistics efficiency and sustainability practices.
Lower carbon footprint
When PET bottles are recycled properly, they can potentially have a lower carbon footprint compared to other types of packaging. Recycled PET filaments enable the creation of unique designs and innovative products, further promoting sustainability in various industries.
End-Use Applications
In addition to the remarkable properties mentioned above, PET resin is also recognized as safe for food by FDA and other health agencies around the world, making it one of the most popular packaging materials in the food and beverage sector.
Packaging materials
PET has widespread application in food and beverage packaging, where it is predominantly utilized for storing soft drinks, juices, water and other beverages. Additionally, it is also commonly used for packaging household and industrial products.

Homecare
Indeed, PET is also extensively used in the homecare sector for packaging a wide range of products including cleaning agents, laundry detergents, hand sanitizers and various hygiene products. Its durability, chemical resistance and ability to maintain product integrity make it an excellent choice for containing these household essentials, ensuring effectiveness and safety for consumers.
Pharma packaging
In the pharmaceutical industry, PET plays a vital role in packaging various medical products, including blister packs, vials, bottles and other containers.
Textile

In the textile industry, PET is utilized in various forms. Polyester fabrics made from PET are firm, flexible, and resist shrinkage better than cotton. Additionally, these materials are lightweight, resistant to dragging and tearing, which contributes to the production of high-quality products.
The use of PET or Polyester masterbatch further enhances the output and durability of these products. Consequently, it has become a popular additive for plastic processors seeking to increase profitability in manufacturing.
The Sustainability Concerns
Although the raw materials are derived from crude oil and natural gas, PET stands out as an exceptionally energy-efficient packaging material.
Its sustainability jumps even higher when recycling is introduced since approximately 40% of PET’s energy use is attributable to its “resource energy” – the energy inherently trapped in its raw materials that can be recaptured and reused through recycling. This not only conserves valuable resources but also reduces greenhouse gas emissions and environmental impact, making recycled PET an even more environmentally friendly option.
Life cycle studies of PET have consistently confirmed the environmental benefits of PET as a packaging material. In the 60 years since PET was first synthesized, it has evolved into one of the most globally used, versatile and trusted materials.
The Significant Advantages Of PET Resin
PET resin is a highly versatile material recognized for its high strength and stiffness, making it suitable for a variety of demanding applications. Its lightweight nature is especially advantageous in the transportation industry, as it helps reduce overall vehicle weight and improve fuel efficiency. PET resin acts as an excellent barrier for moisture, ensuring the protection of contents from external elements. It also provides superior electrical insulation, making it an ideal choice for wiring and cable applications.
With high thermal stability, PET can withstand temperatures ranging from -60 to 130 degrees Celsius, performing well under extreme conditions. Additionally, PET is suitable for transparent applications and is known for durability and resistance to breakage. Being recyclable and usable in microwave radiation, PET resin supports sustainable practices.

Furthermore, it is environmentally friendly, recyclable and compatible with microwave radiation. With approval from the FDA and other health agencies, it is deemed safe for use with food and beverages.
The Limitations Of PET Resin
PET has numerous advantages to our daily life but it is not without drawbacks. The crystallized form of PET has:
- lower impact strength
- lower moldability
Furthermore, PET in amorphous form is easily affected by boiling water, alkalis and strong bases. At high temperatures exceeding 60°C, it is prone to attack by ketones, aromatic and chlorinated hydrocarbons as well as diluted acids and bases.
Conclusion
To summarize, PET stands as a versatile and indispensable material in various industries, ranging from packaging and transportation to food and beverage applications. Its unique combination of strength, lightweight nature, moisture resistance, thermal stability, transparency, recyclability and safety approvals make it a preferred choice for manufacturers and consumers alike.
As we continue to innovate and explore new possibilities in material science, PET remains at the forefront, offering sustainable solutions and bringing the convenience to our everyday lives.
About TLD Vietnam – A Reliable Supplier Of PET Resin
TLD Vietnam takes pride in being a reliable supplier of PET resin. We collaborate with reputable brands such as Sabic, Mitsui Chemicals, and Formosa Plastics Corporation to ensure the highest quality materials to offer a wide range of plastic resins, including PET, PP, PVC, and PE resin.
TLD Vietnam also has extensive global network, spanning over 50 countries. Our customer-centric approach and commitment to building lasting relationships have earned us a reputation for exceptional customer service.
We are dedicated to sustainable development, striving for business progress while minimizing environmental impact. Contact us now for the best quotation!


